大家知道,北大是国内名校中的top2,一向以文科老大闻名的;
事实上,北大的理科还是很强的(不是工科),特别是数理化,更特别是数学,在国内是当之无愧的No1,更是远远超过T大的;
之前,北大数学系有位天才柳智宇,拒绝了麻省理工奖学金,出家当了和尚,让无数人为之震撼,更是为大师的精神力量所折服;
事实上,像柳大师这样的学霸级扫地僧,在北大数学系,可是多如牛毛,稀松平常的。。
近日,另一位北大数学大神,韦东奕,手提馒头、矿泉水,咪咪小眼、头发蓬乱,接受采访,走红网络;
视频中,大神看似其貌不扬,接受采访只会说:“欢迎来到北京大学,我也不会说别的。”
他连续获得第49届、第50届国际数学奥林匹克(IMO)满分、金牌第一名,还囊括了华罗庚久金奖,陈省身icon金奖,林家翘金奖,许宝騄金奖。
在北大数学系上,有人找到了有关他的简单介绍,2014年获得了北大学士学位后,仅用了4年,又在2018年获得了北大博士学位;
之后,韦神又在北京国际数学研究中心做博士后,2019年12月之后留校,担任助理教授;
他生于1991年,父母是山东建筑大学的教授,父亲也是数学系教授,因此,韦神从小就对数学很感兴趣,并且展示出了过人的天赋。
从高一开始,韦神参加数学竞赛得奖,基本如家常便饭;但即使获奖无数,并且也收到了包括哈佛、麻省理工在内的诸多海外名校的邀请,但是他还是坚持在国内读博士,钻研学业。
( 这当然也跟他不善言辞,也不太会照顾自己有关;但如此人才留在国内,肯定是对国内有好处的。)
毫不夸张的说,只要有韦神参加的数学大赛,其他人都可以退场了;其貌不扬的他,早已成为数学届的传奇人物。
2018年,阿里举办的难度非常大的数学大赛(有实际的业务背景需求),韦神依然轻松夺冠;也为阿里解决自身问题,提供了实实在在的数学参考。
当然,韦神也不是完美人物;不修边幅,口齿不清,在当前以貌取人的时代,韦东奕常常被人称为是读书傻了,是个书呆子。
更可笑的是,居然有网友嘲笑道,说他长的不帅,找不到女朋友。。
要知道,远的爱因斯坦的蓬乱头发就不说了,近代的陈景润也是其貌不扬、甚至生活不会自理的,但是丝毫不影响他破解哥德巴赫猜想,享誉世界;
事实上,在当前社会,对于这些天才来说,赚钱也许并不是特别困难的事;
搞数学的人玩起金融和计算机来,基本可以说是降维打击的;而这两个行业可以说是当前相对赚钱的了。
低欲望不代表没有欲望;而他们的征途,更有可能在星辰大海,在基础学科的进一步突破;在于为未来人类生活更加美好,创造新的可能性;
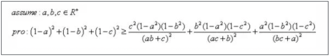
中国人的名字命名的不等式:「韦东奕不等式」 凡人们膜拜一下:

这是韦东奕出给“聂神”——数学天才聂子佩的题目

而这是网传聂子佩的解答

对了,那年,他才高二,高二,高二!……
韦东奕不等式是韦神研究椭圆函数时得到的一个不等式,网上直接搜索可以得到对韦东奕不等式的解答,整理了一下并且修改了其中的一些小错误,然后收录于此。对于不等式的研究,是很多数学家很热衷的。证明一个不等式,尤其用初等方法证明一个不等式是颇有难度的,且需要很多尝试,在一番努力后曲径通幽。然而发现一个不等式,更是有难度的,很多不等式就是在研究一些数学问题时不经意得到的副产物,我们眼里看来平平无奇的不等式,大多都是有很深厚的数学背景的。而该不等式证明中用到多次经典的变量替换,是在不等式学习中可以作为一个经典传承的。
总是在学习的过程中想起一句话:年轻时不做理想主义者是可悲的,年老后还做理想主义者也是可悲的。希望可以在年轻的时候还可以继续理想主义几年。

看不懂了?看不懂就对了,凡人就点赞吧
希望北大把这样的人才保护好,在数学史上,中国人开始真正闪烁星光!
声明:本站所有文章,如无特殊说明或标注,均为本站原创发布。任何个人或组织,在未征得本站同意时,禁止复制、盗用、采集、发布本站内容到任何网站、书籍等各类媒体平台。如若本站内容侵犯了原著者的合法权益,可联系我们进行处理。